Thời gian qua, hệ thống Camera AI thí điểm và các camera giám sát trên địa bàn đã phát huy hiệu quả mạnh mẽ trong việc phát hiện vi phạm giao thông.
Theo danh sách mới nhất được công bố, hệ thống đã ghi nhận và trích xuất hồ sơ của 342 phương tiện vi phạm trật tự an toàn giao thông. Trong đó, có 82 trường hợp xe ô tô vi phạm và 260 trường hợp là xe mô tô, xe gắn máy.
Trường hợp xe ô tô con đi sai làn đường được Camera AI ghi hình.
Để chủ động trong việc nộp phạt và giải quyết thủ tục hành chính, chủ phương tiện và người điều khiển phương tiện có thể tự tra cứu thông tin "phạt nguội" của mình qua các kênh chính thống sau: Tra cứu trên app VNeTraffic; Truy cập Trang thông tin điện tử của Cục Cảnh sát giao thông.
Ngoài ra, người dân có thể liên hệ trực tiếp để được hướng dẫn tại: Đội Chỉ huy giao thông và điều khiển đèn tín hiệu giao thông (Phòng CSGT - CATP Hà Nội) địa chỉ Số 54 Trần Hưng Đạo, phường Cửa Nam, TP Hà Nội.
Đối với người dân đang cư trú trên địa bàn Hà Nội, để tạo điều kiện thuận lợi, Phòng CSGT đã bố trí 14 địa điểm tiếp nhận và giải quyết kết quả phạt nguội trải rộng khắp thành phố. Người vi phạm có thể đến địa điểm gần nhất trong danh sách này để làm việc, không nhất thiết phải tập trung về trụ sở chính gây quá tải.
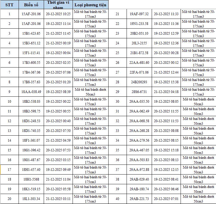
Danh sách phương tiện vi phạm:








Hà Nội: Danh sách các trường hợp vi phạm giao thông 'lọt' vào ống kính Camera AI ngày 6/1GĐXH - Trong vòng 24 giờ từ ngày 5/1 - 6/1, hệ thống Camera AI tại nội thành Hà Nội và trên tuyến cao tốc Nội Bài - Lào Cai đã ghi nhận hơn 48 trường hợp vi phạm, trong đó vẫn chủ yếu là các lỗi vượt đèn đỏ, "quên" đội mũ bảo hiểm.




































